新井投產前必須進行1次礦井通風阻力測定,以後第3年至少進行1次。礦井轉入新水平生產或改變一翼通風係統後,必須重新新進行礦井通風阻力測定。
新井投產前必須進行1次礦井通風阻力測定,以後第3年至少進行1次。礦井轉入新水平生產或改變一翼通風係統後,必須重新新進行礦井通風阻力測定。
【解讀】本條是關於進行礦井通風阻力測定的規定。
1.測定礦井通風阻力的目的與意義
風流在井巷中流動,井巷會對風流施加阻力,即為礦井通風阻力(包括摩擦阻力和局部阻力)。通風阻力與通風壓力是對立的統一,風流在井巷中流動的過程就是兩者互相作用的過程。兩者大小相等、方向相反、因次相同。影響礦井通風阻力的因素很多,如巷道的支護形式及光滑程度、斷麵大小及變化情況、周邊長度及巷道長度,以及礦井通風網絡的布置、風量分配等。
礦井通風阻力是衡量礦井通風能力的主要指標之一,也是進行礦井通風設計和礦井通風管理的主要依據之一。新井投產前必須進行1次礦井通風阻力測定,其目的是衡量新井的通風能力能否滿足生產能力的要求;了解新井通風阻力的大小及分布狀況,為投產後進行礦井通風管理和提高管理水平提供和積累科學依據。
隨著礦井開采活動的進行,結束或新投產了一些采區,報廢或新掘了一些巷道,采區分布和巷道布置發生了一些新的變化,通風阻力也會發生變化。因此,每3年至少進行1次礦井通風阻力測定,以便了解巷道支護與維護狀況,通風阻力的分布與變化情況,並對礦井風量進行合理調節與分配,滿足礦井安全生產要求。
礦井轉入新水平生產或改變一翼通風係統後,巷道分布和通風網絡發生了變化,通風阻力的大小與分布也必將隨之發生變化。必須重新進行礦井通風阻力測定,使礦井通風達到安全可靠和經濟合理的要求。
2.礦井通風阻力測定方法
礦井通風阻力測定的方法可分為兩類,即壓差計法和氣壓計法。
1)測前準備工作
在進行礦井通風阻力測定之前,首先要明確阻力測定的目的與任務,並做好相關儀器的精度校正和備好所用記錄表格等用具;其次按測定範圍的大小分成若幹小組(每小組由45人組成),預先做好分工,每個人要按分工熟練掌握儀表性能、操作方法和注意事項。
2)選擇測量路線和測點
(1)根據測量任務和礦井特點,選擇主要幹線和必要的次要幹線及局部阻力測量地段;對全礦井測量時,應選擇風量大、人員儀器容易通過的幹線為主要測量路線;可先在通風網路圖上大致確定測量地段、路線和測點。
(2)確定測量路線和測點數時,應考慮有可能在一個班內測量完畢。
(3)測點應盡可能不靠近井筒和主要風門,以減少井筒提升和風門開啟的影響;兩點間的壓差應不小於10~20Pa,不大於儀器的量程;測點前後3m支架良好,巷內無堆積物;測點布置在分支、彙流、轉彎處和斷麵變化的地方時,前方不小於巷道寬度的3倍,後方不得小於巷道寬度的8~12倍。
(4)對於不測阻力的風路,也要進行風量測定,以便計算它的風阻和校核風量。
(5)用氣壓計法時,測點要測量標高或靠近標高點附近;測點應沿風流方向依次編號。
3)測量工作
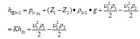
(1)壓差計法。壓差計法測量通風阻力的實質是測出風流兩點間的勢壓差和動壓差,來計算兩點間的通風阻力。
如圖2-2-10所示,用橡膠管把設置在測點1與2靜壓管(或皮托管)分別接引到壓差計的“-”、“+”接管。壓差計兩液麵所受壓力之差即為壓差計的讀數。
H測=p1+(Z1-Z2)·ρ1-2·g-p2
式中 p1、p2——分別為起末兩測點風流的絕對靜壓,Pa;

Z1、Z2——分別為兩測點的標高,m;
ρ1-2——兩測點風流密度的平均值,

按
g——重力加速度,在我國境內可用9.8m/s2。
則兩測點間的通風阻力為:

式中 K——壓差計讀數的精度校正係數。
測定具體方法是從第一個測點開始,在前後兩測點處各設置一個靜壓管,在後測點的下風側6-8m安設壓差計。靜壓管應設置在風流正常穩定的地點,其尖端應正對風流。壓差計應靠近巷道壁安設平穩、調零或記下初讀數,避免行人和運輸影響。膠管要防止折疊和被水、汙物等堵塞。待橡膠管內的空氣溫度等於巷道內的空氣溫度後,將短橡膠管一端連接在後測點的靜壓管上(或皮托管的靜壓端),另一端接在壓差計的"-"端上;長橡膠管的一端接在前測點的靜壓管上,另一端接在壓差計的"+"端上,待壓差計液麵穩定後讀數。如液麵波動,可在10~20s內,連續讀9~10個值,再求其平均值。
個別情況下,當後測點的風速遠小於前測點風速,而測點間通風阻力又不大時,壓差計讀數可能出現負值。
在測定壓差的同時,小組其他人員可分別進行風速、大氣條件和其他參數的測量。
按上述方法依次沿測點的順序進行測量,直到全部路線測完為止。
測點距離較遠時,須有聯絡信號或用通訊電話聯係。
測定采煤工作麵壓差時,儀器應安設在運輸平巷內或回風平巷內的不易受運輸幹擾的地,點,橡膠管沿工作麵敷設。若工作麵鄰近有供行人或通風的小眼,橡膠管可通過小眼敷設。
測定局部阻力時,應在局部阻力物前、後比較穩定的風流中,各設一個測點。
(2)氣壓計法。氣壓計法測量通風阻力是用精密氣壓計測出兩測點間的絕對靜壓差,再加上動壓差和位壓差,以計算通風阻力。又分為逐點測定法和兩測點同時測定法。
①逐點測定法:將兩台精密氣壓計帶到井口或井底車場,調好儀器記錄初讀數。然後將一台儀器留在原地監視大氣壓力變化以做校正用,由一人每隔10~15min記錄一次讀數;另一台儀器沿測點順序分別測出各測點風流的絕對靜壓。若地麵大氣壓及通風狀況發發生變化時,就用原井口或井底車場的氣壓計計數來進行校正。
②兩點同時測定法:將兩台精密氣壓計(Ⅰ、Ⅱ號)同時放在1號測點,調好儀器記錄初計數。然後Ⅰ號儀器不動、將Ⅱ號儀器不動,再同時讀取兩台儀器的計數。如此循環前進直到測完。在測定途中或到達最後一個測點時,兩台儀器在同一測點進行校核。此法用兩台儀器、兩測點的靜壓值是同時讀烽,所以不需要大氣壓力變化校正。
4)資料整理
對測定資料進行計算與整理是通風阻力測定中的重要工作。在計算之前,需要將原始記錄數據,按校正儀表的係數一一校正,再用下列公式分別算有關內容,並填入“礦井通風阻力測定彙總表”中。
(1)空氣密度。各測點的空氣密度按下式計算:

式中 p——測點空氣的絕對靜壓或大氣壓力,Pa;
t——測點空氣的溫度,℃。
⑵斷麵及周長。測點的巷道斷麵(S)和周長(U),按巷道形狀有關公式計算。
⑶風量計算。測點的風量按下式計算:

式中 V——測點斷麵的平均風速,m/s。
相鄰兩點間的風量相差不大或有均勻漏風時用平均風量Q,則

式中各符號的意義同前。
當風速很小(小於4m/s)時,動壓差一項可不計。
②用氣壓計法時,兩測點的通風阻力為:

⑹測量路線的總阻力h阻總計算:
測量路線的總阻力h阻總按下式計算:

⑺巷道的風阻R計算:
兩測點間測量時的風阻為:

式中 L1-2——兩測點間的距離,m。
⑻摩擦阻力因數a計算:
應選擇支架、斷麵S、周長U均不變或變化很小、無彎曲的巷道某一直線段L1-2,把下式等號右邊諸參數測量出來,即可計算出該巷道測量時間摩擦阻力係數a測:

表2-2-9礦井通風阻力測定使用的儀器儀表
| 序號 | 儀器儀表名稱 | 型號規格 | 數量 | 備注 |
| 1 | 空盒氣壓計 | 普通型 | 1 | 附檢驗證 |
| 2 | 精密氣壓計 | GJ—1,WB—1 | 2 | 附檢驗證 |
| 3 | 傾斜壓差計 | Y—61 | 2 | 附檢驗證 |
| 4 | 補償式微壓計 | DJM9型 | 2 | 附檢驗證 |
| 5 | 靜壓管(皮托管) | 2 | 附檢驗證 | |
| 6 | 風速表 | 高、中、低速 | 3 | 附校正曲線 |
| 7 | 熱球風速度 | 1 | 附校正曲線 | |
| 8 | 溫度計 | 手搖式、通風式 | 2 | 附檢驗證 |
| 9 | 秒表 | 2 | ||
| 10 | 皮尺、鋼卷尺 | 或測繩 | 各1條 | |
| 11 | 橡皮管 | φ4~5 | 2根 | 150~200m;20~30m |
| 12 | 玻璃三通、短管 | 若幹 | ||
| 13 | 記錄紙、表格 | 若幹 | 表格要事先印好 |
表2-2-10巷道參數記錄表
| 測點 | 巷道名稱 | 測點位置 | 斷麵形狀 | 支架類型 | 巷道規格 | 測點間距/m | 累計長度/m | 測點標高/m | 備注 | |||||
| 上寬/m | 下寬/m | 高/m | 拱基高/m | 斷麵積/㎡ | 周長/m | |||||||||
表2-2-11巷道參數記錄表
| 測點序號 | 表速/m·s-1 | 實際風速/m·s-1 | 儀器號 | 備注 | ||||
| 第一次 | 第二次 | 第三次 | 第四次 | 第五次 | ||||
表2-2-12大氣條件記錄表
| 測點序號 | 幹溫度/℃ | 濕溫度/℃ | 幹濕溫度差/℃ | 相對濕度/% | 大氣壓力/Pa | 備注 |
表2-2-13測壓計測壓記錄表
| 測點序號 | 計數時間 | 計數/Pa | 計數差值/Pa | 測點時間靜壓差/Pa | 備注 | |
| 時 | 分 | |||||
表2-2-14壓差計測壓記錄表
| 測段序號 | 測定地點 | 壓差計讀數/Pa | 儀器校正係數 | 測點間勢能差/Pa | 備注 |
| 儀器號: |
